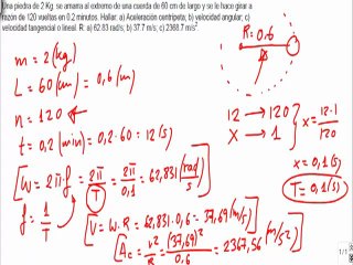
Fisica Movimiento Circular Uniforme (MCU)

Fisica Movimiento Circular Uniforme (MCU)

Fisica Movimiento Circular Uniforme (MCU)


User: Zola Grossman

Views: 1

Uploaded: 2015-09-06

Duration: 09:18