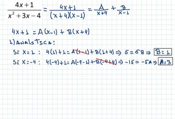
CASO I: FRACCIONES PARCIALES

CASO I: FRACCIONES PARCIALES


User: HERNAN QUIROZ

Views: 7

Uploaded: 2015-10-29

Duration: 14:19

Your Page Title