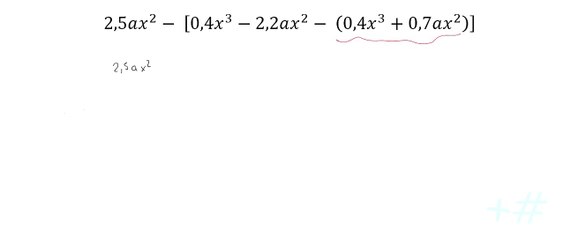
Reducir terminos sejantes

Reducir terminos sejantes


User: MatematicaSerie23

Views: 53

Uploaded: 2015-10-30

Duration: 07:46

Your Page Title