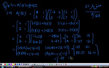
(G9 MTH AFW) Grade 9 Maths Unit 8, Exercise 8.7

(G9 MTH AFW) Grade 9 Maths Unit 8, Exercise 8.7

Punjab Text Book Board, Lahore, Pakistan. br Publication Date = Mar 2010 br Edition = 8 br Tibbat Print = 4 br Unit 8 br Topics covered = Exercise 8.


User: FT121212

Views: 1

Uploaded: 2015-12-10

Duration: 18:33