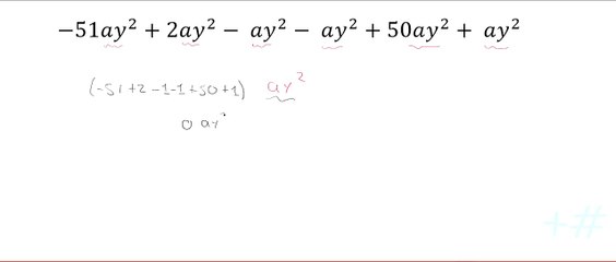
Reducción de términos. Ej. 5

Reducción de términos. Ej. 5

SUSCRIBETE! br br Asesoría personalizada en Medellín - Colombia br br datos: 304 3808857 - whatsapp br br carloscano1019@gmail.


User: MasNumeros

Views: 4

Uploaded: 2015-12-17

Duration: 02:27

Your Page Title