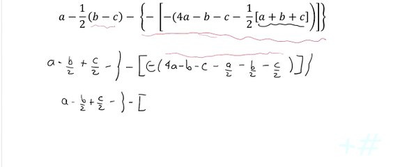
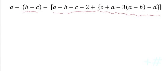
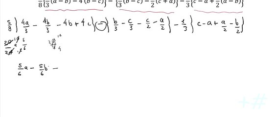
Signos de agrupacion. Ej. 1

Signos de agrupacion. Ej. 1

SUSCRIBETE! br br Asesoría personalizada en Medellín - Colombia br br whatsapp br 304 3808857 br br correo br carloscano1019@gmail.com br br br twitter br @masnumeros br br br blog br mas-numeros.blogspot.com.


User: MasNumeros

Views: 6

Uploaded: 2015-12-21

Duration: 02:02