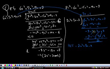
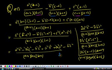
(G9 MTH AGK) Grade 9 Maths Unit 8, Exercise 8.14

(G9 MTH AGK) Grade 9 Maths Unit 8, Exercise 8.14

Punjab Text Book Board, Lahore, Pakistan. br Publication Date = Mar 2010 br Edition = 8 br Tibbat Print = 4 br Unit 8 br Topics covered = Exercise 8.


User: FT121212

Views: 8

Uploaded: 2016-01-23

Duration: 36:35

Your Page Title