PA- Progressão aritmética aula 1- Professor Fredson Santana

PA- Progressão aritmética aula 1- Professor Fredson Santana

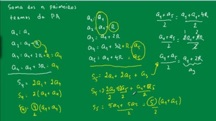
PA- Progressão aritmética aula 1- Professor Fredson Santana br br br br br br br br br br Buscas: br Como descobrir se é uma PA ou PG br Classificação de uma PA br O que é progressão aritmética br Para que serve uma Pa (progressão aritmética) br Matemática para concursos públicos 2017 br Progressão aritmética para concursos br Aula introdutória da Progressão aritmética br Termos de uma PA br Como saber se uma progressão é uma PA br Progressão atitmética ou progressão geométrica br PA- Progressão aritmética Aula 1 Introdução- Professor Fredson- Aula 2017 br Progressão aritmética br Progressão aritmética br Progressão aritmética br Progressão aritmética


User: Aprenda Matemática

Views: 3

Uploaded: 2017-02-07

Duration: 06:46

Your Page Title