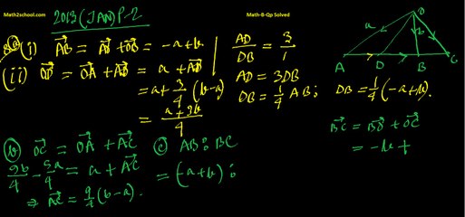
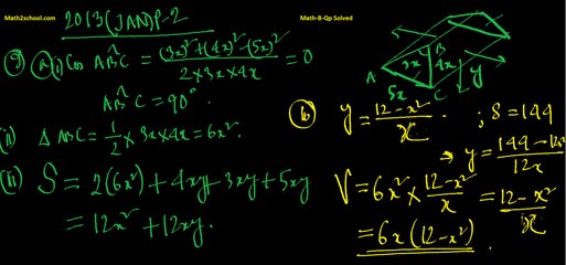
MathsB-QP-2014(Jan)-P2-9

MathsB-QP-2014(Jan)-P2-9


User: Edmathbqpkhalifa

Views: 11

Uploaded: 2017-02-19

Duration: 05:42

Your Page Title