Suma de matrices. ¿Cómo utilizar una calculadora científica Casio fx-570MS?

Suma de matrices. ¿Cómo utilizar una calculadora científica Casio fx-570MS?

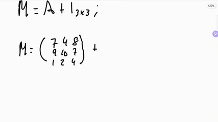
Vídeo que muestra como utilizar una calculadora Casio fx-570MS para realizar sumas de matrices


User: Scientificprotocols

Views: 3

Uploaded: 2017-03-04

Duration: 08:01