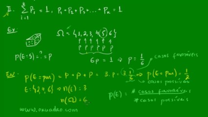
Probabilidade Espaço Amostral

Probabilidade Espaço Amostral

Probabilidade Espaço Amostral


User: Vicente Junior

Views: 3

Uploaded: 2017-09-16

Duration: 05:26

Your Page Title