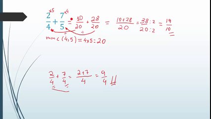
Operações com fração: Soma, subtração, multiplicação e divisão

Operações com fração: Soma, subtração, multiplicação e divisão

VÍDEO NOVO SOBRE OPERAÇÕES COM FRAÇÕES: \rbr\rbr\rbrASSISTA TAMBÉM:\rbr▶ RACIONALIZAÇÃO DE DENOMINADORES \rbr▶ Dica da DIVISÃO POR 5 \rbr▶ Como usar o TRANSFERIDOR :\rbr▶ GRAUS, MINUTOS E SEGUNDOS \rbr▶ FUNÇÃO DO PRIMEIRO GRAU - Aula 01 - Definição, Gráfico e Raiz \rbr▶ FUNÇÃO DO PRIMEIRO GRAU - Aula 2 \rbr▶ FUNÇÃO DO PRIMEIRO GRAU - Exercícios - Aula 3 \rbr▶ CRITÉRIOS DE DIVISIBILIDADE \rbr▶ Potenciação \rbr▶ Transformação das unidades de medida de comprimento \rbr▶ O Teorema de Pitágoras


User: Puxi

Views: 1

Uploaded: 2017-09-29

Duration: 05:18