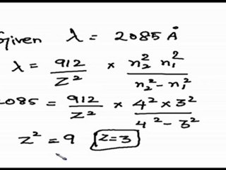
structure of atom

structure of atom

br br br br (adsbygoogle = window.adsbygoogle || []).


User: Tariq Adeel

Views: 105

Uploaded: 2017-12-19

Duration: 01:09

Your Page Title