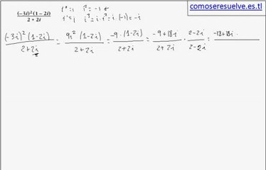
Multiplicación de Complejos Ejemplo 2

Multiplicación de Complejos Ejemplo 2

Si deseas que resuelva algún ejercicio en particular de cualquier área de matemáticas, no dudes en comentarlo o escribir al correo walterortegaprofetql@gmail.


User: walterortegaprofe

Views: 5

Uploaded: 2019-04-24

Duration: 02:20