Matemáticas Fáciles - Resuelve un triángulo rectángulo con Tangente y Secante

Matemáticas Fáciles - Resuelve un triángulo rectángulo con Tangente y Secante

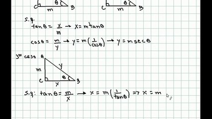
Éste videotutorial explica cómo resolver un triángulo rectángulo usando la tangente y la secante. También se usa un poco de Geometría Elemental para encontrar el a´gulo agudo que falta.


User: MathsCalculators

Views: 1

Uploaded: 2019-05-24

Duration: 04:18

Your Page Title