✅ EXAMEN DE ADMISION QUIMICA - ESTADO GASEOSO, LEY COMBINADA, HUMEDAD ABSOLUTA (#UMSA, #UMSS)

✅ EXAMEN DE ADMISION QUIMICA - ESTADO GASEOSO, LEY COMBINADA, HUMEDAD ABSOLUTA (#UMSA, #UMSS)

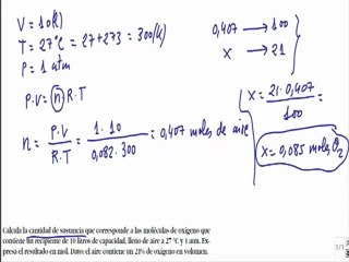
URL Directo al Curso: br Hola, en el vídeo de hoy, les dejo la solución de un problema clasico de #Quimica, mas especificamente del tema de #GASES y ley combinada, para ingresar a la #Universidad en el curso #preuniversitario. Espero que les guste el vídeo, si quieren que suba mas vídeos comenten. br br DESCRIPCION DEL PROBLEMA: br Se tiene una muestra de 80 mL de gas seco (aire) medido a 17 grados centigrados y a 600 milimetros de mercurio (mmHg), esta muestra se recogio sobre agua y llego a ocupar un volumen de 84 milimetros a 25 grados centigrados y 600 milimetros de mercurio. br Calcular: br a) La presion de vapor br b) La humedad absoluta br br ✅ EXAMEN DE ADMISION QUIMICA 1-2019 | ESTADO GASEOSO - LEY COMBINADA (#UMSA, #UMSS) br br br Hasta aquí llegamos por hoy, no olvides suscribirte para continuar viendo el curso de Quimica. br Desde donde uno se encuentre, siempre es posible ayudar br br ¿Has aprendido algo nuevo? ¿Ves que era fácil verdad? br Ayúdame suscribiéndote a mi canal!! :): br br Fanpage Bits de Ciencia: br br Cualquier duda, solo comenten, etiqueten a las personas que están postulando a la facultad de #CienciasPuras, #Medicina, #FACULTADDEINGENIERÍA, #UNIVERSIDADMAYORDESANANDRES, #UMSA, #UMSS, #UTO, #UATF, #UAGRM, br br Chicos(as) no olviden suscribirse para recibir notificaciones por correo electrónico cada vez que publiquemos un nuevo video...


User: Bits de Ciencia

Views: 7

Uploaded: 2019-10-26

Duration: 06:55

Your Page Title