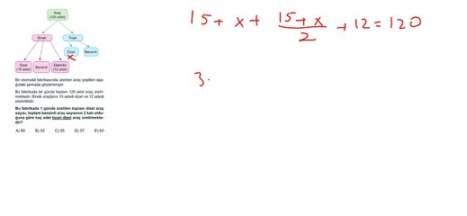
Sıradışı Analiz Yayınları TYT 4. Deneme Sınavı - Matematik 25. Soru

Sıradışı Analiz Yayınları TYT 4. Deneme Sınavı - Matematik 25. Soru


User: Yeni Akit Gazetesi

Views: 3

Uploaded: 2020-01-26

Duration: 00:32