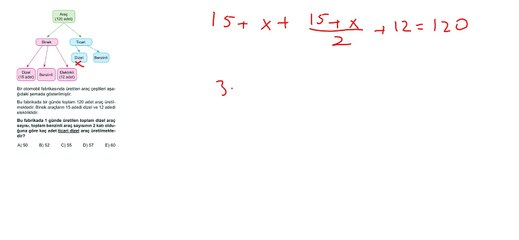
Sıradışı Analiz Yayınları TYT 4. Deneme Sınavı - Matematik 33. Soru

Sıradışı Analiz Yayınları TYT 4. Deneme Sınavı - Matematik 33. Soru


User: Yeni Akit Gazetesi

Views: 2

Uploaded: 2020-01-26

Duration: 05:04