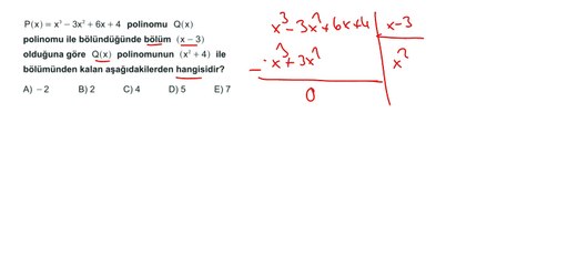
Sıradışı Analiz Yayınları TYT 6. Deneme Sınavı - Sosyal Bilimler 25. Soru

Sıradışı Analiz Yayınları TYT 6. Deneme Sınavı - Sosyal Bilimler 25. Soru


User: Yeni Akit Gazetesi

Views: 43

Uploaded: 2020-02-07

Duration: 01:37

Your Page Title