Ultra Bass circuit -- Loud Bass -- Powerful Amplifier - With Capacitors - Without Pf

Ultra Bass circuit -- Loud Bass -- Powerful Amplifier - With Capacitors - Without Pf

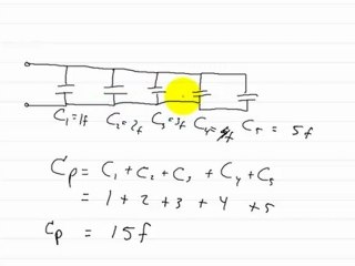
Ultra Bass circuit -- Loud Bass -- Powerful Amplifier - With Capacitors - Without Pfbr br In this video you will see how to make an Amplifier Bass Booster Circuit With Only Capacitors at Home .br br For this project you need 47uf, 2uf, 1uf#capacitor, br .


User: Bharat Experiment

Views: 1

Uploaded: 2020-02-16

Duration: 03:48

Your Page Title