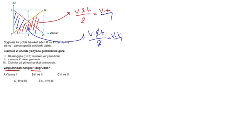
Sıradışı Analiz Yayınları TYT 7. Deneme Sınavı - Fen 4. Soru

Sıradışı Analiz Yayınları TYT 7. Deneme Sınavı - Fen 4. Soru


User: Yeni Akit Gazetesi

Views: 2

Uploaded: 2020-03-01

Duration: 01:13