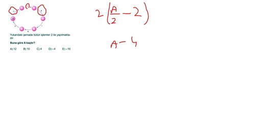
Sıradışı Analiz Yayınları TYT 8. Deneme Sınavı - Matematik 7. Soru

Sıradışı Analiz Yayınları TYT 8. Deneme Sınavı - Matematik 7. Soru


User: Yeni Akit Gazetesi

Views: 3

Uploaded: 2020-03-01

Duration: 01:50