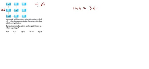
Sıradışı Analiz Yayınları TYT 9. Deneme Sınavı - Matematik 12. Soru

Sıradışı Analiz Yayınları TYT 9. Deneme Sınavı - Matematik 12. Soru


User: Yeni Akit Gazetesi

Views: 2

Uploaded: 2020-03-04

Duration: 01:42

Your Page Title