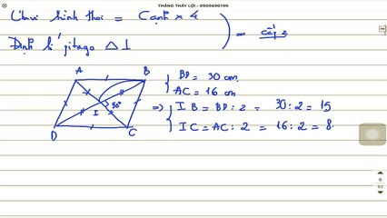
Cách tính độ dài đường chéo hình thoi khi biết diện tích và đường chéo thứ nhất Toán lớp 4

Cách tính độ dài đường chéo hình thoi khi biết diện tích và đường chéo thứ nhất Toán lớp 4

Cách tính độ dài đường chéo hình thoi khi biết diện tích và đường chéo thứ nhất Toán lớp 4br HÌNH CHỮ NHẬTbr Diện tích br chu vi br Nửa chu vi br Diện tích br chu vi br chiều rộngbr chiều dàibr br HÌNH VUÔNGbr chu vi và diện tíchbr Chu vi br Diện tíchbr Cạnh br br HÌNH TAM GIÁCbr chu vi br diện tíchbr br TỨ GIÁCbr Chu vi br Diện tích br br HÌNH THOIbr Đường chéobr Diện tíchbr br br Hình tròn br Đường kính br Bán kính br br HÌNH BÌNH HÀNHbr Chu vi br Diện tíchbr Chu vi và diện tích br br Dấu hiệu chia hết cho br 2 3 5 9 br br Tìm x br Lớp 1br Lớp 5br Lớp 6 br br Lũy thừa br Bấm máy tính casiobr br Chuyển số thập phân thành phân số trên máy tính casiobr chuyển phân số thành số thập phân br Số nhỏ nhất có 3 chữ sốbr Số bé nhất có 3 chữ số khác nhaubr Số lớn nhất có 3 chữ số khác nhaubr Số dư lớn nhất trong phép chia có dưbr Số liền trước số liền saubr Trung bình cộngbr Số chẵn số lẻbr Viết số thích hợp vào chỗ …br Tìm số bị trừbr br chữa giải đề thi tốt nghiệp thpt ( trung học phổ thông ) quốc gia môn toán các nămbr ĐỀ CHÍNH THỨCbr 2017 br br 2018br br 2019br br br 2020 br br br 2021br br 2022br br 2023br br ĐỀ MINH HỌAbr 2017 br 2018br 2020 br 2021 br 2022br br 2023br


User: Thằng Thầy Lợi

Views: 47

Uploaded: 2022-07-04

Duration: 03:57

Your Page Title