Matematica Esercizio #1 Disequazioni Irrazionali Mathematics Irrational Inequalities

Matematica Esercizio #1 Disequazioni Irrazionali Mathematics Irrational Inequalities

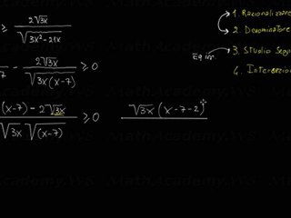
Lezione di matematica, disequazioni irrazionali. br Esercizio svolto.


User: Matematica Mathematic

Views: 1

Uploaded: 2022-07-25

Duration: 05:40

Your Page Title