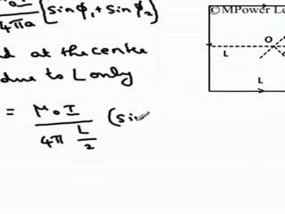
Moving Charges & Magnetism 01: Biot Savart’s Law : Magnetic Field due to Straight Wire #JEE #NEET

Moving Charges & Magnetism 01: Biot Savart’s Law : Magnetic Field due to Straight Wire #JEE #NEET

If you like my work & effort then please help me complete 100 followersbr br Hi, myself Sufal Kumar,br Physics Faculty. br Dear friends, viewers & students, my channel is about Physics Education. I am to concentrate mainly on JEE, NEET, CBSE & ISC in near future.br br #SufalPhysicsForumbr #iitjee br #neet br #physics br #biotsavartlaw br #movingchargesandmagnetism br #revision br br Pls like, share & subscribe, if you like my educational video....


User: SufalPhysicsForum

Views: 3

Uploaded: 2022-09-27

Duration: 10:28

Your Page Title