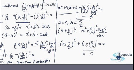
Proof of quadratic formula by complete square method

Proof of quadratic formula by complete square method

Proof of quadratic formula by complete square method


User: ABHIJIT KUMAR CHANDAN MATHEMATICS

Views: 0

Uploaded: 2022-12-21

Duration: 05:15