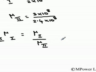
CRITICAL ANGLE AND TOTAL INTERNAL REFLECTION

CRITICAL ANGLE AND TOTAL INTERNAL REFLECTION

CRITICAL ANGLE AND TOTAL INTERNAL REFLECTION


User: sreducators

Views: 85

Uploaded: 2023-01-08

Duration: 03:07