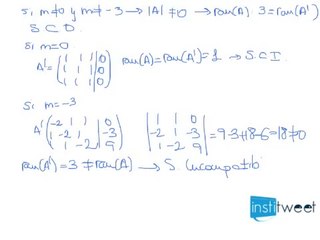
A que NO TE ATREVES a resolver éste RETO MATEMATICO. DON'T YOU DARE to solve this MATH CHALLENGE.

A que NO TE ATREVES a resolver éste RETO MATEMATICO. DON'T YOU DARE to solve this MATH CHALLENGE.

A que NO TE ATREVES a resolver éste RETO MATEMATICO. DON'T YOU DARE to solve this MATH CHALLENGE.


User: DOMADOR DE NÚMEROS

Views: 2

Uploaded: 2023-02-06

Duration: 00:28

Your Page Title