Determinante de una matriz

Determinante de una matriz

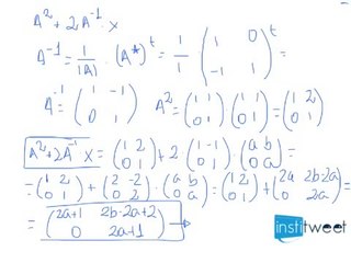
Encontrarás cómo hacer un determinante de una matriz por la Regla de Sarrus.


User: aprendeGarrulo

Views: 7

Uploaded: 2024-01-18

Duration: 04:08

Your Page Title