Part-2 of Exercise 3.2 - 9th Class Math 9 کاس میتھ مشق نمبر 2۔3

Part-2 of Exercise 3.2 - 9th Class Math 9 کاس میتھ مشق نمبر 2۔3

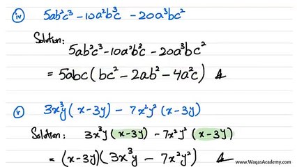
This video is regarding Mathematics Part-2 of Exercise 3.2 - 9th Class Math 9 کاس میتھ مشق نمبر 2۔3 of Class 9th Science Group.


User: BRIGHT FUTURE

Views: 7

Uploaded: 2024-08-19

Duration: 01:00:25

Your Page Title