Electronics & Communication Engineering invited Talk on Power Amplifiers and Multivibrators (1)

Electronics & Communication Engineering invited Talk on Power Amplifiers and Multivibrators (1)

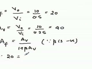
The Department of Electronics & Communication Engineering at K.Ramakrishnan College of Technology, in association with the IEEE student branch, organized an insightful invited talk on “Power Amplifiers and Multivibrators – Industry Perspective” on May 7, 2024. So, this event, which aimed to bridge the gap between academic learning and industry applications, was graced by the presence of Dr.T.S.Murugesh, Associate Professor, Electronics& Communication Engineering Department , Government College of Engineering, Srirangam, Trichy.


User: krct seo

Views: 1

Uploaded: 2024-09-23

Duration: 00:25

Your Page Title