How to Solve Linear Equations involving Fractions with MathOGuide Basics of Algebra

How to Solve Linear Equations involving Fractions with MathOGuide Basics of Algebra

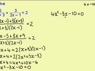
To solve linear equations with fractions, the main goal is to eliminate the fractions so that the equation becomes easier to work with. Here’s a step-by-step approach:br br Step 1: Identify the Denominatorsbr br Look at all the fractions in the equation and note their denominators.br br Step 2: Find the Least Common Denominator (LCD)br br Identify the least common denominator (LCD) of all the fractions. This is the smallest number that each denominator can divide into without leaving a remainder.br br Step 3: Multiply Every Term by the LCDbr br Multiply every term on both sides of the equation by the LCD. This step will clear out the fractions.br br Step 4: Simplify the Equationbr br After multiplying, simplify each term. The denominators should now cancel out, leaving you with a simpler equation without fractions.br br Step 5: Solve the Resulting Equationbr br Now you have a standard linear equation without fractions. Use basic algebraic steps to solve for the unknown variable (such as isolating the variable on one side).br br Step 6: Check Your Solutionbr br Substitute your solution back into the original equation to ensure it satisfies the equation.


User: MathoGuide

Views: 43

Uploaded: 2024-11-05

Duration: 03:09

Your Page Title