Calcule a potência de um resistor aquecido em razão do efeito Joule quando 450 J do seu calor é dissipado durante 30 minutos. Questões de Física - Quantum X

Calcule a potência de um resistor aquecido em razão do efeito Joule quando 450 J do seu calor é dissipado durante 30 minutos. Questões de Física - Quantum X

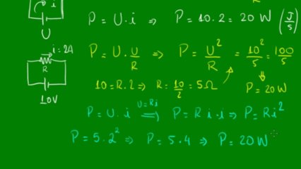
Prof: Rafael dos Santos br Sejam bem vindos ao Canal Quantum X br Inscrevam-se e deixem o like ! br br br br Calcule a potência de um resistor aquecido em razão do efeito Joule quando 450 J do seu calor é dissipado durante 30 minutos.


User: Curso Quantum X

Views: 5

Uploaded: 2025-03-03

Duration: 02:28