0.5-Comment cacule un ordinateur

0.5-Comment cacule un ordinateur

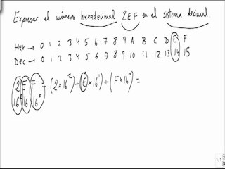
Cette vidéo formation vous explique comment un ordinateur calcule, transforme nos chiffres, calculs et demandes diverses de traitement, sous forme de 0 et de 1 au travers de calculs de conversion binaire-Décimal ou Binaire hexadécimal ou Décimal-Hexadécimal.br Vous saurez comment obtenir les équivalences de calculs dans les modèles de numération appelés base 10 ( Décimal), Base 2 ( Binaire), Base 16 hexadécimal).br A l'issue de celle-ci pour aurez capté comment un ordinateur interprète toutes nos actions et demandes issues d'un système d'exploitation et des programmes que nous utilisons.br Les débutant y trouverons les explications simples et suffisantes, pour comprendre ce fonctionnement basique des ordinateurs. Les autres retrouveront les processus de conversion pour un simple rappel de base, le cas échéant.


User: mikemnd

Views: 5

Uploaded: 2010-05-23

Duration: 29:01