Conjuntos Parte 2

Conjuntos Parte 2

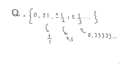
Video aula de Matemática - Conjuntos Numéricos


User: A MATEMAGICA

Views: 1

Uploaded: 2010-10-17

Duration: 09:21