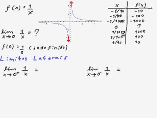
Cálculo de Limites - Parte 01

Cálculo de Limites - Parte 01

Cálculo de Limites - Parte 01


User: A MATEMAGICA

Views: 3

Uploaded: 2010-10-24

Duration: 05:21