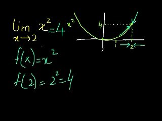
BASICS OF LIMITS

BASICS OF LIMITS

iam a student and i want to help others.....


User: NAIMAT MEMON

Views: 2

Uploaded: 2011-05-07

Duration: 07:38

Your Page Title