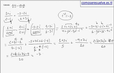
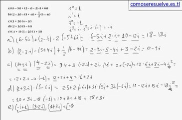
Los Números complejos

Los Números complejos


User: Edgar José Salazar Palma

Views: 10

Uploaded: 2011-05-08

Duration: 06:24

Your Page Title