Calculus Calculating Limits Using Limit Laws Part 1

Calculus Calculating Limits Using Limit Laws Part 1

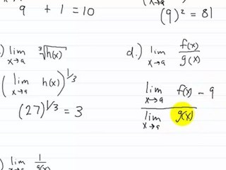
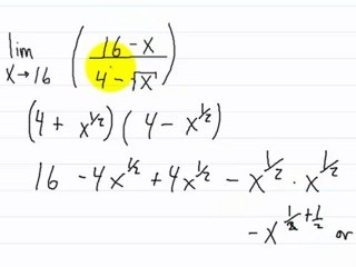
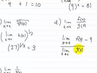
This video teaches how to solve for a limit using limit laws. It is the first video of a series of videos on this topic.


User: martin93003

Views: 162

Uploaded: 2011-12-15

Duration: 05:53

Your Page Title