Calculus Limit Laws Part 3

Calculus Limit Laws Part 3

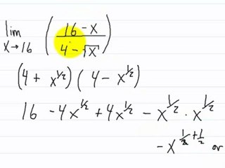
This video shows you how to calculate limit laws in calculus. It is part 3 of a series of videos. This video solves the following problems. br br 1.Limit(x^4 + x -3)br br 2.Lim((3*x^3 + 3)(x^2 + 2*x))br br 3.Limit((65 + x^3)^(12))br br 4.


User: martin93003

Views: 42

Uploaded: 2011-12-16

Duration: 07:13