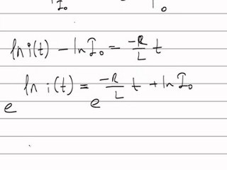
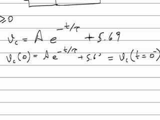
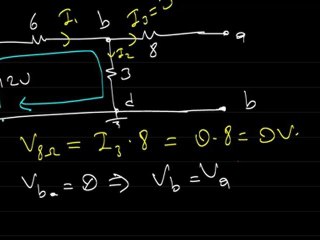
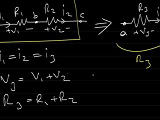
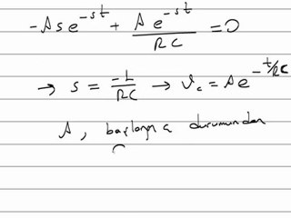
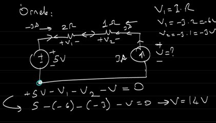
dc devre analizi kapasitörler

dc devre analizi kapasitörler


User: hmyokku

Views: 1K

Uploaded: 2012-03-19

Duration: 14:15