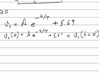
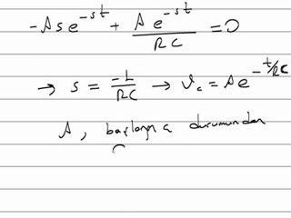
dc devre analizi KCL

dc devre analizi KCL


User: hmyokku

Views: 1

Uploaded: 2012-03-19

Duration: 05:25