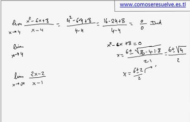
Tipo de límite: 0/0 (ejercicios 1 y 2) - HD

Tipo de límite: 0/0 (ejercicios 1 y 2) - HD

VISITA ,FB:


User: Math2me

Views: 1

Uploaded: 2012-04-19

Duration: 11:02