Circuits Inductors Part 1: Series

Circuits Inductors Part 1: Series

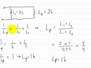
This is a quick video on how to add inductors in series.


User: martin93003

Views: 38

Uploaded: 2012-06-01

Duration: 01:44

Your Page Title