Capacitive Reactance: Part 2

Capacitive Reactance: Part 2

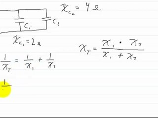
This video is a quick tutorial on how to determine the capacitive reactance of a circuit. This video is part two of a series on capacitive circuits.


User: martin93003

Views: 30

Uploaded: 2012-06-07

Duration: 06:04