Capacitive Reactance: Part 4 Current Series Parallel

Capacitive Reactance: Part 4 Current Series Parallel

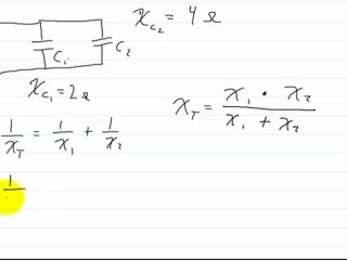
This video is part 4 of a series of videos. This video has two examples of how to solve for the current in a circuit with capacitors using Capacitive Reactance. One example shows how to deal with parallel capacitors and the other is series.


User: martin93003

Views: 1

Uploaded: 2012-06-07

Duration: 04:05