Recta de un haz de rectas con pendiente dada

Recta de un haz de rectas con pendiente dada

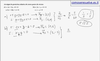
Como se resuelve.


User: Institweet

Views: 7

Uploaded: 2012-10-11

Duration: 04:16

Your Page Title