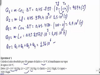
Energía termica y calor 1º Bachillerato ejercicio 5

Energía termica y calor 1º Bachillerato ejercicio 5

Es un video de un problema resuelto de energía térmica y calor de 1º de Bachillerato. Si quieres ver más problemas resueltos de electrónica, neumática, termodinámica, teoría de circuitos, estructuras, hidráulica o maquinas eléctricas (problemas resueltos de oposiciones tecnología secundaria) visita la Web www.inevid.com, si quieres ver más problemas resueltos de física visita www.comoseresuelvelafisica.com y si quieres mas problemas resueltos de matemáticas visita comoseresuelve.


User: Institweet

Views: 27

Uploaded: 2012-10-14

Duration: 05:10