Modelizacion de sistemas electricos funcion de transferencia 3

Modelizacion de sistemas electricos funcion de transferencia 3

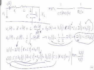
Es un video de un problema resuelto de sistemas automáticos con modelizacion de un sistema y hallar la función de transferencia. Si quieres ver más problemas resueltos de electronica, neumatica, termodinamica, teoria de circuitos, estructuras, hidraulica o maquinas electricas (problemas resueltos de oposiciones tecnología secundaria) visita la web www.inevid.com, si quieres ver más problemas resueltos de fisica visita www.comoseresuelvelafisica.com y si quieres mas problemas resueltos de matematicas visita comoseresuelve.blogspot.


User: Institweet

Views: 34

Uploaded: 2012-10-14

Duration: 08:07

Your Page Title